中文马克思主义文库 -> 参考图书·左翼文化 -> 〔美〕安德鲁·克莱曼《大失败:资本主义生产大衰退的根本原因》(2012)

第二章 盈利能力、信用体系与资本消灭


· 利润率下降是危机的间接原因
· 马克思的利润率下降趋势规律
· 低盈利能力
· 信用体系
· 资本(价值)的消灭
· 资本价值消灭和LTFRP


  本章阐述了指导后面章节经验分析的理论框架。这一框架简要概述了马克思的资本主义经济危机理论的关键——利润率下降趋势(LTFRP)、信用市场的运作以及危机造成的资本价值的消灭,并讨论了它们对最近这场危机和大衰退的适用性。
  本章前半部分讨论马克思的利润率下降趋势规律,以及它怎样有助于解释经济危机和经济低迷——即使在危机爆发之前的一段时间里利润率会上升,就像2000年代中期曾经发生过的那样。我认为,马克思的理论把利润率下降看做是危机的一个间接原因,只有与金融市场的不稳定性以及由低盈利能力(有别于盈利能力下降)引起的不稳定性联系在一起时,利润率的下降才会导致危机。
  本章后半部分考察马克思和其他一些人所说的在危机和衰退过程中出现的“资本消灭”——即由金融和实物资本资产的价值暴跌以及实物资产本身的毁坏所造成的损失。本书后面的部分中,我将证明经济没有从1970年代和1980年代早期的衰退中完全恢复,而没有完全恢复这一问题以及政策制定者对它的应对为最近这场危机搭建了舞台。在本章,我对经济为什么没有完全恢复提出了一个解释:在1970年代中期和1980年代早期,被消灭的资本价值的数量不足以恢复利润率,从而不足以使生产性投资以健康的步伐继续前进。我对资本消灭的讨论同样还将有助于澄清为什么利润率下降趋势规律预示着危机的再次出现,而不是利润率在整个资本主义历史中的长期下降。

利润率下降是危机的间接原因


  第五章将证明,对美国公司利润率的一些衡量表明自1982年到2007年利润率基本上没有趋势,而在最近这场危机之前的几年中公司盈利能力急剧上升。人们可能会因此认为,利润率的下降不可能是最近这场危机和衰退的原因。它当然不是一个直接的原因,但我将证明它是一个关键的间接原因。1980年代初期的利润率很低,并且自那以后利润率始终没有以一种持续性的方式得到恢复。这导致了资本积累率和经济增长的显著下降。[1]政府为了不让这一问题失去控制而采取了相应政策,但这些政策却拖延并加剧了这一问题。为了维持税后利润和掩盖经济的不景气,财政部不断增加借款。利率下调、政府贷款担保、对大多数房屋销售取消资本利得税以及其他一些措施,促使抵押贷款大规模增加。同时,政府还一再帮助本国和外国债权人摆脱困境。
  这些政策成功地维持了需求,使需求没有回落到与新价值的生产和利润率相一致的水平。但在这期间出现了日益严重的债务危机和泡沫破裂——第三世界债务危机、1987年股市崩溃、美国储蓄与信贷危机、东亚危机、互联网泡沫破裂以及最终产生了自大萧条以来最大的债务危机和泡沫破裂。信用市场越是复杂和广泛,“强行扩大”(马克思,1991a:621)[注:〔德〕马克思:《资本论》第3卷,北京:人民出版社2004年版,第555页。——译者注]发生的程度就越为严重——并且当价值规律终于让人们感觉到它的存在时,最终经济收缩的程度也就越大。这就像橡皮筋拉伸得越长弹回的力量越大一样。

马克思的利润率下降趋势规律


  马克思认为,随着资本主义生产的发展,资本家倾向于采取效率更高的劳动节约型技术;换句话说,他们越来越多地转向以机器代替工人的生产方法。在这一趋势以及他关于价值取决于劳动时间的理论基础之上,马克思推论出了利润率下降趋势规律(马克思,1991a,第3篇)。这一规律是:资本主义制度下生产力的提高造成了一般利润率下降的趋势,“因此,一般利润率日益下降的趋势,只是劳动的社会生产力的日益发展在资本主义生产方式下所特有的表现”。(马克思,1991a:319,强调为原文所加)[注:〔德〕马克思:《资本论》第3卷,北京:人民出版社2004年版,第237页。——译者注]
  为什么由劳动节约型技术变革所引起的生产力提高会降低利润率呢?这个想法对许多人来说似乎是荒谬的。例如,布伦纳(1998:11—12,n1)认为,LTFRP“是与常识相违背的”,而它的虚假性“在直觉上是显而易见的”。那又怎样?几乎所有的现代物理学也都是与常识相违背的,但它的结论并没有因此就是不正确的。[2]
  之所以说LTFRP“与常识相违背”,是因为对许多人来说如下观点似乎在直觉上是显而易见的,即一个更有效率的资本主义就是一个赚钱更多的资本主义。这一直觉由于如下事实而得到强化,即技术先进的公司比技术落后的公司赚钱更多——通过采用比其竞争者更为先进的技术,单个公司的确提高了它的利润率。然而,如果说这意味着当整个经济体的生产力提高,整个经济体范围的利润率也将会提高,那就犯了一个逻辑错误——合成谬误。这里我举几个类似的例子。在看台上如果你站起来,你会看得更清楚;但如果每个人都站了起来,那么并不会每个人都看得更清楚。如果你获得了硕士学位,你将得到一个更好的工作并且挣更多钱;但如果每个人都拥有一个硕士学位,那么并不会每个人都得到更好的工作并且挣更多钱。
  所以,让我们把直觉放在一边,来考察一下这种情况下的现实逻辑。当劳动节约型技术变革被引入之后,预付资本中更多的部分被投资于生产资料,而用来雇用工人的部分更少。但是根据马克思关于价值取决于劳动时间的理论,创造全部新价值的是工人的活劳动。此外,一单位平均时间的劳动“不管生产力发生了什么变化……提供的价值量总是相同的”。(马克思,1990a:137,强调为本书所加)[注:〔德〕马克思:《资本论》第1卷,北京:人民出版社2004年版,第60页。——译者注]因此,技术创新导致每一美元预付资本所创造的新价值下降。并且,如果剩余价值(利润)在新价值中的份额是固定的,那么每一美元预付资本所创造的剩余价值的数量——换句话说即利润率——也必定下降。
  当然,资本主义企业不了解也不关心用劳动时间来衡量的价值或剩余价值。他们了解和关心的是货币价值和货币利润。因此重申马克思关于价格和利润的规律是有帮助的。随着生产力的提高,每单位劳动时间生产出更多的物质产品和有形效果(服务)。然而,根据马克思的理论,生产力的提高不会导致创造更多的新价值。相同数量的价值被“分散在”更多的物品上,因此生产力的提高带来单个产品的价值降低。换句话说,物品可以更低廉地生产出来。并且由于它们能够更低廉地生产出来,它们的价格将倾向于下降[3]在一个竞争性的环境中,当企业的生产成本下降,它们必须降低其索取的价格。如果它们不这么做,一旦其竞争对手因生产成本降低而削减价格,它们就会承担大幅损失市场份额甚至破产的风险。[4]此外,即使是垄断企业在成本降低时通常也会倾向于降低其价格,这是因为成本降低使得单件产品在单价降低的情况下利润也可能提高,而价格的降低能够让垄断企业卖出更多的产品。
  即使是非马克思主义者也承认价格下降的趋势是技术革新的一个结果,例如艾伦·格林斯潘(Alan Greenspan,2000)曾说:

  生产力的较快增长限制了单位成本和价格。公司不愿提高价格,因为它们担心它们的竞争者凭借新投资带来的较低成本,会从它们那里掠夺市场份额。
  事实上,不断降低的价格和日益加快的交付周期,使得替代劳动的设备和软件越来越容易得到,这可以说是近年来企业定价权丧失的根源所在。

但是,因“替代劳动的设备和软件”而导致的“企业定价权的丧失”是LTFRP的关键;马克思不仅用价值和剩余价值概念提出了这一规律,而且他还使用价格和利润的概念来描述这一规律(尤其见于马克思1991a:332—338)。假定剩余价值率(剥削率)是固定的,并且假定实物产出和实物资本以相同的比例增长,这是非常合理的假定。在这些条件下,如果技术革新没有同样倾向于压低价格,那它将不会造成利润率下降的趋势;但是如果它的确会压低价格,那么利润率事实上就将会下降。[5]
  我前面曾经强调,马克思把利润率的下降看做是危机的间接原因。鉴于其合理性,要想利用间接原因做出解释,就必须给出理由来说明这些间接原因如何通过中间环节起作用,并产生出所讨论的现象。在本节后面的部分,我集中讨论两个中间环节——低盈利能力和信用体系,这两个中间环节将二战以后利润率的下降与最近这场经济危机与衰退联系了起来。

低盈利能力


  利润率的下降会产生持续性的影响。即使利润率在经济危机爆发之前的那段时间并没有继续下降,先前的下降也会因其产生了一个低水平的平均利润率而为这样一场危机铺平道路。即使在危机即将爆发的那段时间里利润率保持不变甚或有所上升,这一点仍然成立。
  法尔容和麦柯弗(Farjoun and Machover,1983:163—166)曾指出,在平均利润率相对较高时,只有相对较少的企业会遭遇严重困难。即使那些利润率确实低于平均水平的企业也能够生存下去。然而,一旦利润率的下降导致平均利润率水平变得很低,就会有许多低盈利能力的企业发现自己身陷严重的麻烦之中,因为它们的利润率这时已经低于维持生存所需要的最低水平了。当平均利润率相对稳定时有多少企业盈利能力较低,在平均利润率持续下降时就会有多少企业面临困境。
  如果利润率远远低于平均水平的企业相对较少,而利润率只是略低于平均水平企业占有较大的比例,那么随着平均利润率的下降,无法继续生存的企业的比例就会以越来越快的速度增加。例如,假定利润率正态分布(即呈现钟形曲线),并且一家公司为了生存所需的最低利润率为6%,同时平均利润率水平下降了3个百分点。表2.1和图2.1表明,初始平均利润率较低时(15%)与初始较高时(30%)相比,平均利润率的这一下降会导致多得多的企业破产。如表中和图中所假定的那样,如果在两种情况下利润率的相对离散度相同,那么,当平均利润率从30%下降到27%时,陷入破产的企业只增加了0.5%。但是,当平均利润率从15%下降到12%,陷入破产的企业就增加了4.4%——几乎是前者的8倍半。

表2.1 盈利能力下降导致企业破产的非线性效应平均(中值)利润率
平均(中值)利润率30.0%27.0%15.0%12.0%
标准差15.0%13.5%7.5%6.0%
相对离散度(变异系数)0.50.50.50.5
无法生存的企业(利润率<6010)5.5%6.0%11.5%15.9%

图2.1 利润率分布


  因此,盈利能力相同幅度的短期下降,在平均利润率较低时具有比平均利润率较高时严重得多并且广泛得多的后果。这种低盈利能力使经济更不稳定、更易发生危机和严重衰退。因此平均利润率的下降将会带来持续的失稳效应,即使它在很久以前就已经停止继续下降也是如此。
  此外,许多现象有时被看做是利润率下降的结果,但它们实际上是利润率偏低的结果。例如,利润率下降时,资本(生产性投资)的积累率也倾向于下降。但是,这意味着,如果利润率水平较低并且没有回升,那么积累率也将会较低且没有回升。(在第五章,我将表明美国公司的积累率始终与其利润率紧密联动。)低资本积累率又会相应导致就业、产出、收入和对消费品与服务的需求的低增长率。一旦收入(利润、工资、税收等等)增长放缓,企业、家庭和政府就更加难以偿还其债务。这就给债务危机和金融危机的到来铺平了道路。
  促使问题产生的另一个因素是低利率。如果资本积累率较低,利率也会较低(在其他条件相同的情况下,愿意借款以筹措生产性投资资金的企业越少,就会有越多的放贷者不得不降低他们索取的利率以吸引借款方借款)。但是,低利率使得借款更加具有吸引力,从而引起债券、股票和不动产的价格上升,它鼓励了这些资产市场上的投机行为,使这些市场更容易发生危机。[6]

信用体系


  盈利能力的下降和经济危机之间的另一个重要的中间环节是金融。信用市场在马克思的危机理论中扮演着至关重要的角色,尤其在《资本论》第3卷第15章中更是如此,这一章概述了利润率下降趋势与经济危机之间的关系。马克思说道:

  如果说信用制度表现为生产过剩和商业过度投机的主要杠杆,那只是因为按性质来说具有弹性的再生产过程,在这里被强化到了极限。它所以被强化,是因为很大一部分社会资本为社会资本的非所有者所使用,这种人办起事来和那种亲自执行职能、小心谨慎地权衡其私人资本的界限的所有者完全不同。(马克思,1991a:572)[注:〔德〕马克思:《资本论》第3卷,北京:人民出版社2004年版,第499—500页。——译者注]

这句话中包含着丰富的思想。前半句暗示着,信用体系助长了泡沫的形成,从而加剧了繁荣和萧条。它使得在一定时间内的经济增长快于根据诸如盈利能力和新价值生产等基本经济形势所能实现的增长。但也正是这一原因,最终的经济收缩也将比没有它时更加严重。马克思使用“弹性”这个词是恰当的。
  这句话的后半句涉及现在所说的道德风险——也就是说,由于你不是那个承担过度冒险所带来的损失的人,因此你就不会“小心谨慎地权衡”你的投资行为是否太过冒险。道德风险经常被引证为促成最近这场危机的一个关键因素。发起抵押贷款的金融机构并不会小心谨慎地权衡所涉及的风险,这是因为他们卖掉了贷款。那些以抵押证券形式购买了贷款的人则承担了风险。或许购买贷款的人同样也不会小心谨慎地权衡风险,因为风险是由为这些证券提供保险的人们承担的。另外,那些借款给大型金融机构的人们不会小心谨慎地权衡风险,因为他们准确无误地猜到,政府将会认为这些机构“太大因而不能倒闭”,并且会出资以帮助它们摆脱困境。[7]
  我怀疑这里的每一个环节都会让马克思感到惊讶。实际上,他认为道德风险是使信用体系成为“生产过剩和商业过度投机的主要杠杆”的最主要的问题。他还表明,道德风险并不是由任何特定的金融体系所形成的一个缺陷,它是信用本身的一个不可避免的副产品,这是因为债务人不可避免地要拿债权人的资金去冒险,即使他们是直接经营业务而不是通过金融机构这一中间环节去从事业务。这意味着,监管和打破大而不倒的机构并不能消除道德风险。
  不管怎样,马克思对信用市场的关注清楚地表明,他的危机理论并不是这样一种理论,即利润率的下降引起了积累率的下降,然后导致了经济危机,就像是一个台球击中第二个台球,而第二个又击中第三个。他的确曾经提到,“积累率随着利润率的下降而下降”(马克思,1991a,349)[注:〔德〕马克思:《资本论》第3卷,北京:人民出版社2004年版,第270页。——译者注],但是他并不认为积累率的下降是经济危机的直接原因。这主要是因为他区分了危机(资本再生产过程的断裂)和停滞(暴跌、衰退、萧条)。商业周期包括“中常活跃、繁荣、生产过剩、危机、停滞这几个时期”,或者“中常活跃、生产高度繁忙、危机和停滞这几个时期”。(马克思,1990a:580,785)[注:〔德〕马克思:《资本论》第1卷,北京:人民出版社2004年版,第520,728页。——译者注]积累率的下降能够直接引起产出增长率的下降,但是积累率的下降必须以其他一些因素作为中介才能够导致危机。
  马克思认为,利润率的下降通过刺激投机和生产过剩间接地导致危机。并且,由于利润率只能间接导致危机,因而不会立刻引发危机:

  ……就总资本增殖率,即利润率,是资本主义生产的刺激(因为资本的增殖是资本主义生产的唯一目的)来说,利润率的下降会延缓新的独立资本的形成,从而表现为对资本主义生产过程发展的威胁;利润率的下降……还促进生产过剩、投机和资本过剩。[注:〔德〕马克思:《资本论》第3卷,北京:人民出版社2004年版,第270页。——译者注](马克思,1991a:349—350)[8]
  如果利润率下降……就出现了欺诈,而普遍助长这种欺诈的是狂热地寻求新的生产方法、新的投资、新的冒险,以便保证取得某种不以一般平均水平为转移并且高于一般平均水平的额外利润。[注:〔德〕马克思:《资本论》第3卷,北京:人民出版社2004年版,第288页。——译者注](同上,367)[9]

只有在最后当债务不能偿还时,危机才会爆发,而后危机才导致停滞:

  这种汇票多数是代表现实买卖的[10],而这种现实买卖的扩大远远超过社会需要的限度这一事实,归根到底是整个危机的基础。不过,除此以外,这种汇票中也有惊人巨大的数额,代表那种现在已经败露和垮台的纯粹投机营业;其次,代表利用别人的资本进行的已告失败的投机;最后,还代表已经跌价或根本卖不出去的商品资本,或者永远不会实现的资本回流。[注:〔德〕马克思:《资本论》第3卷,北京:人民出版社2004年版,第555页。——译者注](同上,621)
  ……会在许许多多点上破坏按一定期限支付债务的锁链,而在随着资本而同时发展起来的信用制度由此崩溃时,会更加严重起来,由此引起强烈的严重危机,突然的强制贬值,以及再生产过程的实际的停滞和混乱,从而引起再生产的实际的缩小。[注:〔德〕马克思:《资本论》第3卷,北京:人民出版社2004年版,第283页。——译者注](同上,363)

这个描述显得非常现代化。资本主义并没有什么改变,这并不像很多人——无论是批评者还是支持者——所想的那样。
  乍看上去,当前这场危机的一些实际情况似乎表明它并不是起因于利润率的下降。危机爆发于大部分或者全部的下降都早已出现之后。它最主要的直接原因是资产价格泡沫的破裂。并且它是紧随着投机狂热和资产价格巨幅上升从而导致利润率急遽(但短暂)上升之后才发生的。[11]
  然而,我们已经看到,马克思的理论确实认为,利润率的下降只是间接地以延迟的方式导致危机。首先,利润率的下降带来投机的增加和难以偿还的债务的积累,而这些才是危机的直接原因。因此,当前这场危机的时机和导致危机爆发的一系列事件,并没有与马克思的理论相抵触,而是与它相一致,因而为它提供了佐证。在这里,并没有什么异常问题需要我们借助其他方面进行解释。

资本(价值)的消灭


  LTFRP意味着资本主义有一个始终存在着的趋势,即劳动节约型的技术革新将降低利润率。然而马克思也表明,这一趋势会由于“危机中的资本消灭”(马克思,1989b,127,忽略了原文的强调)而不时被打断和抵消。
  马克思所说的资本消灭,一部分是指实物资产的消灭。在经济衰退时期,实物资产遭到毁坏,例如机器和建筑的闲置、生锈和老化。二战期间也有巨额的实物资产被毁坏。但对于所关心的危机理论来说,重要的是就其价值而言的资本的消灭——实物资本资产价值的下降,还有金融资产的(虚拟)价值的下降。当然,如果实物资产遭到毁坏,那么它们的价值也同样被消灭,但是导致资本价值被消灭的最主要的因素是资产价格的下降。由于债务无法偿还,诸如抵押贷款和抵押担保证券这类金融资产的价格就会下降。在衰退和萧条时期,证券价格通常也会下降,所生产的商品的价格——包括实物资本资产、消费品和劳动——常常也会下降。
  在大萧条期间所发生的价格下降造成巨额资本价值被消灭。如果用GDP平减指数来计算,美国商品和劳务的价格在1929年到1933年期间下跌了25%。美国公司所拥有的固定资产的价格在1928年底到1932年底下跌了23%。根据欧文·费雪(IrvingFisher,1933:354,表5)的计算,美国的国民财富在这一时期暴跌了59%,其中大部分是由价格下降造成的。道琼斯工业平均指数自1929年9月到1932年7月下跌超过89%。
  然而资本消灭不仅是严重的经济危机以及由它们所引起的衰退的结果。它还是随后的繁荣的一个主要原因,因为它是促进盈利能力恢复的一个至关重要的因素。[12]资本家投资于设备,并且雇佣工人进行生产,其目的只是为了赚取利润。如果预期利润率不够高,就不会有足够的投资和雇佣,因此也就不会有繁荣。但是,通过恢复盈利能力,资本消灭为一个新的繁荣铺平了道路。[13]
  例如,设想一个企业每年能创造300万美元的利润。如果投资于该企业的资本价值是1亿美元,企业所有者的利润率就只有3%。但是,作为资本价值消灭的结果,新的所有者能够以1000万美元而不是1亿美元得到这个企业,那么他们的利润率——他们从他们的投资中获得的回报比率——就是可观的30%。一个对进行投资、扩大生产和雇佣更多工人的巨大刺激被创造了出来。注意,即使没有新的市场和不断上升的需求从而使投资者预期出现更多的利润,这一点也仍然成立。
  因此,大萧条和二战期间发生的大规模资本价值消灭,为其后的繁荣铺平了道路。据称,大萧条刚刚开始之时,胡佛总统的财政部长安德鲁·梅隆(Andrew Mellon)实际上是在倡导资本消灭,当时它被称做“清算主义”。胡佛(Hoover,1952:30)在他的回忆录中写到:

  梅隆……觉得政府必须放手,让低迷的经济自我清算。梅隆先生只有一个准则:“清算劳工,清算股票,清算农夫,清算不动产。”他主张,即使是〔金融体系中的〕恐慌也不全是一件坏事。他说:“它将肃清我们制度中的腐朽之处……有进取心的人们将从那些无能的人手中收拾残骸重整山河。”

一些保守派的经济学家也提出了类似的建议。米尔顿·弗里德曼(Milton Friedman,1999)提出:

  如果你回到1930年代,关键的一点是,有几位奥地利人在伦敦,例如弗里德里希·哈耶克(Friedrich Hayek)和莱昂内尔·罗宾斯(Lionel Robbins),坐着说你只能等待谷底逐渐从世界退出。你只能让经济自己治愈自己。对此你什么都不能做。否则你只会让它变得更糟。

然而,为了恢复健康的资本积累率和经济增长率所需要消灭的资本价值的数量,看上去要比清算主义者们所预期的数量多得多。哈耶克和罗宾斯后来都曾为他们建议不采取积极政策来抵御1930年代早期的通货紧缩表示遗憾(White,2010:112—113)。
  可以理解,在那之后政策制定者们一直担心出现另一场大萧条,担心出现另一场劳动人民激进化的浪潮——就像1930年代大萧条所引发的浪潮那样。在过去几十年中,阶级斗争的这种后果帮助塑造了经济政策的制定和实施。为了防止1930年代的重演,政策制定者们使用债务融资和债务担保,成功地延迟和阻止了资本消灭。因此,1970年代中期和1980年代早期的经济低迷,甚至最近这场经济低迷,都没有出现大萧条那样的情况。但是,由于资本消灭恢复了盈利能力,从而为下一场繁荣奠定基础,因此我们也没有再次经历类似于紧随大萧条和二战以后的繁荣时期。相反,1970年代的经济衰退以来,经济始终没有得到完全恢复。(我将在第四章中对此进行详细证明。)
  政策制定者们对最近这场危机和衰退的应对,仍然是再一次用更多的债务来弥补坏账,用债务来人为刺激经济——只不过这一次的规模空前巨大。自2008年9月中旬雷曼兄弟破产之后的两年中,美国国债总额增加了40%,从9.6万亿增加到13.5万亿美元。额外增加的借款数量几乎相当于每一个美国人12500美元。根据奥巴马政府的推测——它比2010年国际货币基金组织的工作论文(Celasun and Keim,2010)乐观得多,到2015财年底,美国国债将上升到19.8万亿美元,这意味着它将在仅仅7年中就增加了一倍还多。所增加的10.1万亿债务,相当于整个这7年预估GDP的9%(重申一下,政府对GDP的预估是非常乐观的)。
  如果这些措施成功地使经济摆脱大衰退和通货紧缩前景的影响,那么,全面的资本消灭将再一次被阻止。但在可预见到的未来,美国将面临难以应付的债务负担,并且随着利率的上升,不断增长的债务即使在最好的情况下也会放慢经济增长。此外,债务的巨额增长意味着下一场债务危机可能比最近这一次严重得多。如果真的发生了这种情况,那么下一次冲击金融市场的恐慌浪潮将愈发严重,并造成更加危险的后果。

资本价值消灭和LTFRP


  资本价值在危机过程中的消灭是一个周期性现象。因此,资本价值消灭所带来的盈利能力的恢复同样也是一个周期性现象。因此,纵观资本主义整个历史,利润率没有一个确定的长期趋势,因而试图推断或预测这样一个趋势的努力是徒劳的。
  例如,那种认为技术进步导致利润下降因而利润率必然趋于长期下降的观点,忽视了利润只是决定利润率的一个决定因素这一事实。利润率的另一个同等重要的决定因素是预付资本的价值,这一因素的重要性主要取决于有多少资本价值在危机中被消灭。如果资本价值被大规模消灭,在随后的繁荣时期利润率的峰值就可能比前一个峰值更高。并且如果严重衰退变得越来越频繁,在两次衰退之间利润率下降趋势起作用的时间就会越来越少,从而利润率的低点就可能随着时间的推移而上升。
  因此,LTFRP既没有也不能预测利润率在整个资本主义历史中将实际表现出一个下降趋势。尽管存在着一个相反的一般观念,但似乎没有证据表明马克思预言了这样一种长期下降。相反,他主张,“有某些起反作用的影响在发生作用,来阻挠和抵消这个一般规律的作用”,并且LTFRP“不断地通过危机来克服”(马克思,1991a:339,367,强调为本书所加)[注:〔德〕马克思:《资本论》第3卷,北京:人民出版社2004年版,第258,287页。——译者注]。因此,马克思使用利润率下降“趋势”所要表达的,不是一个经验趋势,而是在没有资本价值的消灭或其他诸如剩余价值率上升的趋势等“起反作用的因素”的条件下将会出现的情况。
  那种认为马克思预言了利润率存在一个长期下降趋势的信念,其最可能的来源是基于这样一个事实,即马克思所回应的那些古典经济学家们的确做出过这种预言。人们因此而错误地认为,马克思和古典经济学家们讨论的是完全相同的论题。然而,马克思明确地否定了这种观点:

  当斯密用资本过剩、资本积累来说明利润率下降时,说的是永久的影响问题,而这是错误的;相反,暂时的资本过剩、生产过剩、危机则是另一回事。永久的危机是没有的。[注:《马克思恩格斯全集》第26卷(下),北京:人民出版社1973年版,第567页,注释1。——译者注](马克思,1989b:128,注释,强调为原文所加)

同样重要且需要强调的是,马克思认为资本主义经济危机是短暂的,尽管它是不可避免并且周期性发生的。那种认为他预言了资本主义的崩溃,并且这种崩溃是LTFRP独自起作用的结果或是与其他原因联合作用的结果的普遍观点,是又一个尚缺乏证据的观点。作为关于认为马克思预言了资本主义崩溃这一观点的著名支持者,曼德尔(Mandel)承认,无论是在马克思关于LTFRP的表述中,还是在《资本论》第3卷的其他地方,都无法找到这一主张的任何文本证据。然而,根据曼德尔的说法,“第1卷中……有许多段落”都证明了崩溃理论(1991:79)。然而他只引用了一个这样的段落,即倒数第二章的结尾,而这一段完全没有涉及制度的崩溃。马克思(1990a:929—930)预言资本主义制度的趋势将导致社会主义革命(“剥夺者就要被剥夺了”[注:〔德〕马克思:《资本论》第3卷,北京:人民出版社2004年版,第874页。——译者注]),但这不是因为任何形式的崩溃,而是因为资本的集中和工人阶级不断增强的反抗。[14]
  因此,LTFRP的政治内涵就不再是任何形式的宿命论。它们是革命的。通过低生产力、萎靡的需求、市场无序、国家干预、高工资、低工资如此等等来探寻危机的理论,隐含着如下的观点,即通过解决那些使资本主义制度运行欠佳的具体问题,资本主义的危机趋势原则上能够被大大削弱或消除。但是LTFRP则表明,资本主义下经济危机是无法避免的,这是因为它们不是由资本主义的外部因素,即那些能够在保持制度完整性的情况下被消除的因素所引起的。就如马克思(1973:749—750,强调为本书所加)所说:“用暴力消灭资本——这不是通过资本的外部关系,而是被当做资本自我保存的条件——这是忠告资本退位并让位于更高级的社会生产状态……”[注:《马克思恩格斯全集》第46卷(下),北京:人民出版社1973年版,第268—269页。——译者注]
  根据他的理论,利润率下降趋势与经济危机根源于一种“内在”于资本的关系,即物质生产和价值生产之间的内在矛盾,这一矛盾恰恰体现在资本主义的职能之中:随着物质生产力的提高,商品的价值下降。其结果是,随着利润率的降低,商品的价格趋于下降,而这最终导致了经济危机和资本价值的消灭。
  现在,这一矛盾及它所带来的危机,显然只有在产品是商品——即物品既有用又有价值——时才会存在。然而资本,除了它是用来为获得更多的价值而进行投资的价值以外什么都不是,所以,无论资本主义采取什么样的财产形式和制度结构,产品具有价值这一事实都是资本主义不可或缺的条件。[15]因此,资本主义的这种内在矛盾以及这种矛盾的影响,不是来源于任何具体的资本主义形式,因而不能通过用一种特殊的制度形式取代另一种特殊的制度形式来克服它们。要想解决这些问题,就必须废除资本,这就如我们所见,必须废除商品和商品生产——换句话说,废除价值和价值生产。[16]




[1] 我认为没有必要谈论利润率下降是1970年代中期和1980年代早期严重衰退的一个原因这一思想。尽管就利润率为什么会下降这一问题存在着大量的争论,但这一思想是没有争议的。

[2] 布伦纳在同一个脚注中还诉诸于据称推翻了LTFRP的“置盐定理”(1961)。然而,TSSI的支持者的大量研究已经证明“置盐定理”是错误的。(这些证明中的一种,以及对先前证明的引述,见Kliman,2007,第7章。)为了挽救这一定理,其支持者用如下这种理由为之进行辩护,即他们从来没有把它当做是关于马克思的LTFRP(而LTFRP是错误的)的一个定理(同上,135—136)。换句话说,他们已经隐含地承认,置盐未能证明劳动节约型技术变革不可能引起马克思的利润率下降。关于“置盐定理”的争论将在第六章进行更为详细的讨论。

[3] 这里“倾向于”是指,价格上升的程度比它们在生产力没有提高时上升的程度小(或者价格下降的程度比它们在生产力没有提高时下降的程度大)。LTFRP并不要求劳动节约型技术变革导致通货紧缩(deflation),即价格的下降。它要求的是这种技术变革导致去通货膨胀(disinflation),即价格增长率的放缓。见Kli-man(2007:129—132)。

[4] 对价格为什么会趋于下降的这种解释,与下面这种有着不可救药的缺陷的观念没有任何关系,这种观念认为技术进步导致了“生产过剩”——与需求相比生产了过多的产出,而这反过来又迫使公司消减其价格。公司对于生产多少产出的决策是以其对产出需求的推测为基础的。由于技术进步并不影响需求——购买者关心的是产品的品质,而不是生产产品的过程——因此在其他条件都相同的情况下,它并不会使公司增加其产出水平。

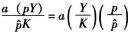
[5] 利润率可以表示为,其中a是利润对净增加值的比例,pY是净增加值,p是现期实物净产出价格指数,Y是实物净产出指数,^p是上期价格的加权平均指数加上取得的实物资本,K是实物资本指数。如果剥削率是固定的,那么a就同样也是固定的,并且如果实物产出与实物资本以相同的速率增长,则Y/K就是固定的。在这些条件下,利润率作为技术进步的结果趋于下降,当且仅当由技术革新所带来的生产力的增长倾向于降低(p/^p)。这一结论有助于澄清,为什么LTFRP并不要求价格实际下降(见上面的注释3):关键不在于p是否小于p,而是(p/^p)是否下降。

[6] 大体上说,利润率的下降也会引起企业将其向生产性用途的投资转向资本市场(见Potts,2009)。然而,我将在第五章表明,在最近这场危机之前的几十年中,美国公司部门并没有发生这种情况。

[7] 在面对金融危机调查委员会的证词中,美联储董事会主席本·伯南克(Ben Bernanke,2010)声称,“大而不倒的信条产生了严重的道德风险……在存在着如果其赌局失败则他们将获得援助的期待下,大而不倒的公司将倾向于承担过度的风险……大而不倒公司的风险累积增加了金融危机的可能性,并且在金融危机发生时使情况更加恶化。毫无疑问,大而不倒公司的过度风险承担是危机的显著原因,房利美和房地美就是其中突出的例子。”

[8] 马克思把“新的独立资本的形成”看做是资本积累出现的主要形式。例如,他指出,现有资本的贬值“通过新资本的形成来加速资本价值的积累”(马克思,1991a,358;中文引自《资本论》第3卷,北京:人民出版社2004年版,第278页。)

[9] 这里译作“欺诈(swindling)”的那个词在原文中是Schwindel,它的意思类似于“哄骗(finagling)”或“具有迷惑性的商业行为(deceptive business practices)”,它未必是那种有意欺骗的(fraudulent)和违法的(illegal)行为。德语中把像伯尼·麦道夫(Bernie Madoff)这样的人称做Betrüger(骗子);若是用Schwindler这个词则会淡化其行为的严重性。(我感谢迈克尔·施密德(Michael Schmid)澄清了这一点。)

[10] 汇票是借款人同意在某个确定的日期偿付一个固定金额的贷款协议。

[11] 资产价格的上升导致利润率的短暂上升,似乎主要是因为消费者将他们的住房和股份的价值增加看做是额外的收入,他们可以凭借这种额外的收入进行消费和借贷。

[12] 马克思对资本消灭所起到的双重作用的理解,来自于他阅读的约翰·富拉顿的内容:“然而,除了理论之外,说明问题的是实践,即来源于资本过剩的危机,或者同样可以说,资本由于利润率下降而进行疯狂冒险。由此,危机——见富拉顿——被看做是对付资本过剩,恢复正常利润率的必要的强制手段。”(马克思,1991b:105;中文引自《马克思恩格斯全集》第48卷,北京:人民出版社1985年版,第294页)。在马克思所谈及的那一段中,富拉顿(1845:171—172,强调为原文所加)写道:“恐慌出现,泡沫破裂,伴随着资本的消灭,在短期内减轻了货币市场曾经不堪重负的载荷,削弱了竞争,并使市场利率恢复到它开始下降之前的水平……[这个]周期性的资本消灭……[使我们的社会体系能够]通过它时时从威胁着自己生存的不断复发的多血症中恢复元气,并且重新处于一种合理而健全的状态。”

[13] 因为在资本价值消灭和盈利能力恢复之后,新投资倾向于“体现”新发明,由熊彼特(1976:83)所普及的“创造性毁灭”这个概念——“产业突变的……过程……不断地从内部使这个经济结构革命化,不断地破坏旧结构,不断地创造新结构”(熊彼特:《资本主义、社会主义与民主》,北京:商务印书馆1999年版,第147页)——与资本消灭的概念存在着密切的联系。

[14] 这里的许多问题都源自爱德华·伯恩斯坦(Eduard Bern-stein)为了反对马克思的革命见解而把他的观点歪曲为关于崩溃的理论这一事实,也源自后来为这种见解辩护的人们常常在讨论中沿用伯恩斯坦的术语这一令人遗憾的事实。他们认为资本主义将因社会革命而崩溃。由于这只是对“崩溃”一词的误用,因此它造成了太多的混乱。

[15] 关于苏联社会中价值关系作用的讨论,见杜娜耶夫斯卡娅(2000,第13章)。

[16] 由政府提供某些物品和服务,以及人们对这些物品和服务享有应得的权利,现在常常被称做“去商品化”,但它实际上并非如此。在政府能够提供这些东西之前,它必须购买或生产它们。如果政府购买这些东西,那么它们显然就仍然是商品。它们继续被生产出来,是为了增加价值。这意味着,它们继续以最小化成本和最大化生产的方式被生产出来,其结果——剥削、恶劣的工作条件、失业以及价格和利润率下降的趋势——同样也继续存在。马克思(1989c:546)写道,“如果国家本身就是一个资本主义的生产者,就像在矿山和森林等的开发中那样,那么它的产品就是‘商品’,并因此而拥有其他一切商品所拥有的特殊性质。”它之所以如此,不是因为马克思这样去定义它,而是因为一个像资本主义生产者那样行动的政府将会最小化成本、最大化生产,总之,就像一个私人资本家那样行动。这个例子中没有什么不同之处,除了用来购买政府生产的“去商品化的”商品的钱被称做税收贡献而不是销售收入。





上一篇 回目录 下一篇